点击右上角微信好友

朋友圈

请使用浏览器分享功能进行分享

正在阅读:物理所单分子晶体管器件研究获进展
首页> 科技频道> 综合新闻 > 正文

物理所单分子晶体管器件研究获进展

来源:物理研究所2021-03-25 17:48

调查问题加载中,请稍候。
若长时间无响应,请刷新本页面

  当器件的小型化趋势使得晶体管的尺寸进入到深纳米尺度的领域(<10nm),量子效应作用渐显。其根本问题在于世界上最小的晶体管功能和操作原理与七十年以来的半导体器件是否相同?在量子力学原理统治的世界里这些极端的器件会展现出什么新奇的物理效应?对这些问题的探究,或对未来的电子器件及介观物理学的发展提出新的可能性。

  对极小晶体管器件探索的一种方法是把世界上最小的功能单元-单个小分子嵌入到电路中构成单个分子的场效应管进行研究,这样的器件只有当分子能级与电路中电子能量相同时才会体现出信号的急剧变化,分子的能级可以通过电场效应进行调节从而实现操控,而对分子中电子传输的探索可以通过扫描隧道显微镜的谱学研究进行。这构成分子电子学两大领域。

  中国科学院物理研究所/北京凝聚态物理国家研究中心纳米物理与器件重点实验室科研人员着力于探索最小分子器件中的功能性和新奇电子传输特性,2019年,博士郭潇描述了两个互相耦合的C60分子对中单个分子上单个电荷的变化对对应的分子传输特性的特征性影响(Chin. Phys. Lett. 60, 127301 (2019))。近期,郭潇通过进一步研究发现,单分子器件展现出复杂的强电子关联行为,为单分子器件性能的探索和单分子器件平台在基础物理问题上的应用提供了新思路。

  强关联电子问题是当代凝聚态物理研究中的重要问题。新奇的物理问题,如重费米子体系中非费米液体行为、莫特绝缘体、安德森绝缘体、高温超导、反常超导等,其关键均是电子之间的强关联效应主导。这种强关联效应不能为传统意义上的单粒子模型和平均场理论所描述,在实际应用和理论研究上都有重要意义。传统上,为追求特殊的电子关联关系,强关联问题的研究往往采用结构和组分复杂的材料系统。通过结构组分设计和掺杂调控,强关联物理研究在这些体系中取得巨大成功。在这些体系中影响因素较多(材料的杂质、各种缺陷,均匀性等),导致很多情况下对实验结果的理论理解上存在争议。与之相对应的,另一种研究关联电子问题的方法是迫使电子通过空间极端受限的人造纳米结构,使得巡游电子不得不与纳米结构中囚禁的单个或少量电子的产生关联,从而构造出强关联电子体系,而电子的传输结果直接取决于电子的强关联行为。这种体系中,电子的关联强度和关联电子的能级结构均可人为控制,从而构成模拟强关联问题的基本模型。在具体纳米器件中欠屏蔽、过屏蔽近藤效应,以及非费米液体、量子相变等一些强关联电子行为被陆续发现。研究此类问题依赖于参数可调的多能级多通道近藤系统,而实验上构造这类系统的难度较高,成为相关研究的壁垒。

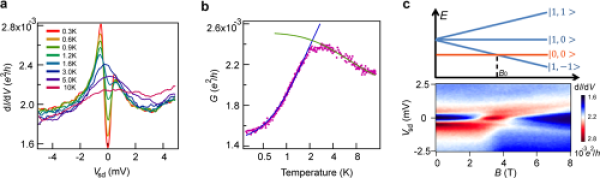
  围绕这类问题,郭潇等科研人员利用酞菁锰磁性分子开展研究。酞菁类分子可以与金属构成强关联态,研究通过利用发展出的可控烧蚀电极的方法构造纳米金属电极对,并把单个酞菁锰分子嵌入其中,利用几纳米距离外的门电极对其中的多个分子轨道能量进行静电调控。这样构造的一个强关联分子晶体管体系中巡游电子与囚禁电子的有效关联与囚禁在分子中不同轨道中电子之间的关联作用相竞争,体现一个最简化的安德森局域场模型中最重要的关联效应(图1)。单个酞菁锰分子器件是天然的零维量子限域体系,具有确定的空间结构和轨道结构,是构造多能级多通道关联系统的有力工具。科研人员利用静电场去除分子中一个电子后,居于锰离子上的两个电子占据两个轨道构成近简并的双能级系统,实现了两个d电子间关联作用与其中一个d电子和电路中巡游电子关联作用的竞争。通过监测巡游电子的电信号观察到了典型的强关联体系中单通道二阶近藤效应(图2)。简单来说,当分子器件居于量子临界点附近的时候,高温下巡游相互作用占主导,低温下局域相互作用占主导,形成互相竞争的态势。这两种相互作用的竞争构成了强关联问题中的重要课题。

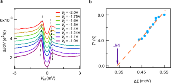
  研究证明酞菁锰分子器件可用来展现这种复杂的强关联作用,并利用器件背栅实现了相对关联强度的调节,首次在实验上描述出单通道二阶近藤效应的演化方式,验证了数字重正化群计算方法中预言已久的线性关系(图3),利用这一关系获得该类分子器件中两个电子的交换相互作用的类型和大小。近藤关联的普适性在该研究中第一次得到全面展示。近藤理论的普适性依赖于其对基态的低能扰动来源不敏感,任何种类的相互作用都应该体现出相同的行为。该研究在实验上首次证明该近藤强关联态对所有可调节试验参数表现出一致的普适平方关系(图4a),揭示出其中电子的费米液体行为,并定量对二阶近藤效应非平衡输运过程的特异性进行了讨论(图4b)。

  相关研究成果以Evolution and universality of Two-stage Kondo effect in single manganese phthalocyanine molecule transistors为题,发表在Nature Communications上。郭潇为论文第一作者,研究员梁文杰为论文通讯作者。研究工作得到国家重点研发计划、中科院战略性先导科技专项等的支持。

物理所单分子晶体管器件研究获进展

图1 a.酞菁锰分子结构及器件示意图;b.单个酞菁锰分子晶体管器件低温下输运特性

物理所单分子晶体管器件研究获进展

图2 单通道二级近藤效应的实验特征

物理所单分子晶体管器件研究获进展

图3 a.二阶近藤共振微分电导随栅压的变化;b.二阶近藤效应中近藤温度T*与器件分子中自旋单态/三态的能量差Δε的关系

物理所单分子晶体管器件研究获进展

图4 a.二阶近藤效应低能量状态下微分电导随电压(V)磁场(B)温度(T)表现出普适的平方关系;b.二阶近藤效应与自旋1/2近藤效应中非平衡输运的差异

[ 责编:战钊 ]
阅读剩余全文(

相关阅读

您此时的心情

光明云投
新闻表情排行 /
  • 开心
     
    0
  • 难过
     
    0
  • 点赞
     
    0
  • 飘过
     
    0

视觉焦点

  • 千年古镇摆起长街宴

  • 台风“麦德姆”在广东湛江登陆

独家策划

推荐阅读
科普资源“需求侧”井喷,“供给侧”该如何应对?
2025-09-30 02:50
从今天起,我们不妨每天给孩子留出30分钟,让他们把第一个“为什么”写下来;不妨对孩子说一句“这个问题真有意思,一起找答案”;不妨在课堂上把“解题步骤”暂时收起,让学生先猜、先试,让好奇心重新成为我们最闪耀的指南针。
2025-09-30 04:05
这个秋天,北京航空航天大学的一批新生将开启一段独特的学习旅程:从大二开始,他们将亲手参与设计一架低空飞行器,直至它真正试飞升空。想象一下,课堂上学到的公式和图纸,几年后竟能化作低空飞行器飞向蓝天,多么振奋人心!这不是科幻电影,而是北航在全国率先开设的“低空技术与工程”专业推出的“项目制人才培养”真实场景。
2025-09-30 04:05
时代浪潮奔涌,技术创新日新月异,国家发展对高素质应用型人才的需求比以往任何时候都更为迫切。由“中国制造”迈向“中国智造”,从关键技术的突破到现代产业体系的构建,处处都需要既掌握扎实理论知识,又具备卓越实践能力的青年英才。
2025-09-30 04:05
辽中凹陷位于渤海北部海域,平均水深22米。探井JZ27-6-3井钻遇油气层57.4米,完钻井深1925米。经测试,该井日产原油约500吨,日产天然气约2万立方米。
2025-09-30 04:05
2025年全国古树名木保护科普宣传周活动29日在广州启动。记者从启动仪式上获悉,为进一步加强古树名木保护,我国已启动第三次全国古树名木资源普查,并严格落实《古树名木保护条例》,按照“一树一策”“一群一策”原则,持续推进科学保护管理,推动古树名木高水平保护和高质量发展。
2025-09-30 04:05
成功攻克了近距离飞行与高精度操作难以兼顾的核心技术难题
2025-09-30 02:50
当科研人员在各自领域里突飞猛进时,科幻创作需要正视专业壁垒与认知鸿沟,更重要的是寻找方法跨越鸿沟。
2025-09-30 02:50
健全大联合、广协同、全覆盖、共建共治共享的国家科普体系,全面构筑新时代国家科普能力
2025-09-30 02:50
建设海洋强国,离不开海洋文化等软实力的支撑。
2025-09-29 09:22
2025年世界新能源汽车大会27日在海南海口开幕。大会以“产业变革与可持续发展”为主题,策划了18场会议、2场闭门会议、技术展览、科技评选和系列科普活动。
2025-09-29 05:25
国家“十四五”规划重点工程——青藏直流二期扩建工程28日正式投运,可将青海与西藏之间的输电能力提高一倍,达到120万千瓦,对于提高西藏电力供应保障能力,促进清洁能源大范围优化配置,服务建设新型电力系统具有重要意义。
2025-09-29 05:25
日前,第五届世界生物圈保护区大会在浙江杭州落下帷幕。这场十年一届的盛会首次在亚洲举行,各方代表齐聚一堂,汇聚共识,共同探讨进一步促进人与自然和谐共生、实现可持续发展的思路与举措。
2025-09-29 05:25
科普是国家创新体系的重要组成部分,是实现创新发展的基础性工作。
2025-09-29 03:15
“我们要做轻量化,就是要做轻量化生态,要建设轻量化生态系统。”在2025(第十八届)汽车轻量化大会(以下简称“大会”)上,北汽福田欧曼事业部研发中心底盘系统高级主任工程师兼公司轻量化负责人李军代表公司获得“汽车轻量化创新成果大赛卓越成果奖”,展现了中国商用车轻量化技术的最新突破。
2025-09-29 07:19
目前,我国专业技术人才超过8000万人,技能劳动者总量超过2.2亿人,其中高技能人才超过7200万人,为推动高水平科技自立自强、建设现代化产业体系提供了坚实人才支撑。
2025-09-28 09:45
9月27日20时40分,我国在太原卫星发射中心使用长征六号改运载火箭,成功将卫星互联网低轨11组卫星发射升空,卫星顺利进入预定轨道,发射任务获得圆满成功。
2025-09-28 09:39
今天,横跨贵州省贞丰县与关岭县的世界第一高桥——六安高速花江峡谷大桥正式建成通车。大桥通车后,原来需要绕行2小时的花江峡谷两岸贞丰县至关岭县,如今仅需2分钟即可直达,真正实现了“天堑变通途”。
2025-09-28 09:39
近日,2025亚太机器人世界杯青岛国际邀请赛在青岛西海岸新区举行,来自12个国家和地区的84支代表队同台竞技。在各类比赛中,人形机器人足球赛吸引了最多观众“观战”。
2025-09-28 04:15
加载更多